
通过前几期的技术讲座,我们了解了DIPIPM™的发展历史、基本结构、内置功能,全面深入地对DIPIPM™产品规格书中相关重要参数、可靠性测试项目进行了学习。
在了解器件的规格书参数及相关可靠性项目内容后,如何根据应用领域及实际工作条件选择合适的器件也是至关重要的,同时也需要重视规格书中极限参数的限制以及相关推荐使用条件。
在接下来的部分,我们从电气性能、热性能、应用领域及寿命角度来对DIPIPM™的选型参考准则和三菱电机针对主要应用的选型推荐进行介绍。
3.1.1
基于电气性能、热性能的选型
三菱电机DIPIPM™产品存在不同系列,不同系列的产品其额定电压、额定电流、载波频率、绝缘耐压、最大结温等参数可能不同。即使标称额定电压、额定电流相同的产品,由于封装或内置芯片的不同,其性能也存在差异,因此需要针对具体的应用对DIPIPM™进行选型。
电气性能和热性能是DIPIPM™选型原则中需要优先考虑的指标。如图1所示,从电气性能及热性能进行器件选型,首先需要考虑器件关键参数及SOA(安全工作区)的限定范围,同时也需要了解实际电路结构、控制方式、最恶劣工况下的具体应用参数如:Vcc(母线电压)、Icp(峰值电流)、fsw(开关频率)、Tf(散热器温度)等。由图1可以看出,选择DIPIPM™时其实际工作的最大结温应满足Tj<150℃/175℃的要求,而实际工作中的母线电压Vcc及最大输出电流需要满足器件开关安全工作区和短路安全工作区的要求。关于器件的安全工作区定义如下图2所示,具体请参考该系列文章《第6讲:正确理解DIPIPM™产品规格书》中的说明。

DIPIPM™选型时首先从最恶劣工况下的工作电压、工作电流对模块进行初始选型,然后再根据应用条件计算出Tjmax后进行热判断,基本判定依据如表1所示,其中ICP为变频器输出相电流的峰值,其定义见图3。

典型应用电路如图3所示(省去整流部分电路),已知使用条件为:输入交流电压Vin=220Vac,额定功率P=1kW,过载倍数为3倍,fc=8kHz,Tf=100℃,PF=0.9。

由上述计算可知,模块需要工作的最大电流为12.37A,基于Ic(模块额定电流)=ICP的选型原则,可选择15A电流规格的模块;而模块需要在358V的母线电压下工作,基于VCES=2×VCC的选型原则,需要选择1200V耐压的模块,但基于VCC<2/3VCES的选型原则亦可选择600V耐压的模块,因此,我们至少可以初步选择600V/15A规格的模块。
初步确定模块规格后,还需根据具体应用条件对模块进行热计算,以判断是否满足热判据,尤其是对额定电流的进一步确认。
热性能判据(热设计)
依据最恶劣工况下的工作条件,首先需要根据模块的通态特性和开关特性计算出模块内置的IGBT和FWD各自的通态损耗和开关损耗,然后得到其总功耗。
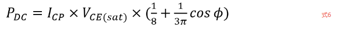
a) IGBT通态损耗PDC

式6
由式6可以计算出IGBT的通态损耗,其中ICP与cosφ通过应用条件确定,而VCE(sat)可以在数据手册中查找到相关数据。
b) IGBT开关损耗Psw

由式7可以计算出IGBT的开关损耗,其中fc通过应用条件确定,而Esw(on)(开通损耗)与Esw(off)(关断损耗)可以在数据手册中查找到相关数据。
结合a)与b)所计算出来的数据,可得出IGBT整体损耗为PQ=PDC+Psw。
c)续流二极管通态损耗PDC

d)续流二极管反向恢复损耗Prr

由式9可以计算出FWD的反向恢复损耗,其中fc通过应用条件确定,而Err可以在数据手册中查找到相关数据。
结合c)与d)所计算出来的数据,可得出FWD整体损耗为PD=PDC+Prr。
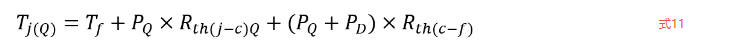
接下来,根据前面计算功耗结果结合热阻计算IGBT结温Tj(Q)和FWD结温Tj(D),具体如式10,其中模块的热传导路径如图4所示。


由式11可计算得出IGBT结温Tj(Q),其中Tf(散热器温度)由应用条件确定,热阻参数可在数据手册中查得。

由式12可计算得出FWD结温Tj(D),其中Tf由应用条件确定,热阻参数可在数据手册中查得。
![]()
最后,根据热判据,计算所得的结温Tj(Q)和Tj(D)应小于模块内部功率芯片所能承受的最大结温Tj(max.)(具体参考规格书),一般而言推荐至少留出25°C的裕量:

若所计算的Tj大于125°C/150°C,则说明模块容量不够,应选择大一级规格的模块再重新上述计算;若Tj远小于125°C/150°C,则说明模块裕量较大,可选择小一级容量的模块再重新上述计算;若Tj小于并接近125°C/150°C,则说明模块选择得很合适。
此外,也可以采用三菱电机针对功率器件功耗的仿真软件Melcosim结合相关应用条件进行仿真判断,该软件可在官网下载,使用方法在后续的章节中会有详细说明。

作为功率器件制造商,三菱电机开发的DIPIPM™产品应用一般不局限在某些特定领域,为了让用户能够快速找到适合自己应用的产品,三菱电机针对主流应用给出了相关的参考选型,具体如下述表格2~7所示,实际选型中需按具体应用条件进行再确认。






DIPIPM™寿命也是选型中需要考虑的重要因素,不同的应用对寿命的要求也不尽相同,因此需要针对模块的寿命进行确认,这需确立DIPIPM™全年的运行工况物理模型,计算每种工况下的温升,对照功率循环(P/C:Power Cycle)曲线及温度循环(T/C:Thermal Cycle)曲线查找对应的寿命次数,最终做加权处理。由于DIPIPM™采用压注模封装结构,其温度循环寿命远大于功率循环寿命,在做相关寿命推测时仅需要考虑功率循环次数,具体P/C曲线请参考相应模块的应用手册。
针对寿命的具体计算方法,后续会有专门的章节进行详细说明,敬请期待。

本文从电气性能、热性能的角度对模块选型进行了相关说明,并给出了相应的判据,另外根据市场应用情况,对DIPIPM™在其主流应用领域中的选型给出了参考建议。接下来的讲座中,我们将继续围绕如何了解透、选择好、应用好DIPIPM™的相关知识进行介绍,敬请期待。
*主要术语列表:
*1: DIPIPM→双列直插式智能功率模块(Dual-in-line Intelligent Power Module);
*2: DIPIPM™、SLIMDIP™及DIPIPM+™均为三菱电机株式会社注册商标。
主要参考文献:
[1] Mitsubishi electric, “SLIMDIP Series Application note”
[2] Mitsubishi electric, “Super mini DIPIPM Ver.6 Series Application note”
[3] Mitsubishi electric, “Mini DIPIPM with BSD Series Application note”
[4] Mitsubishi electric, “1200V Large DIPIPM Ver.6 Series Application note”
[5] Mitsubishi electric, “Large DIPIPM+ Series Application note”
















